为深入贯彻落实中央金融工作会议精神及新“国九条”要求及部署,深刻把握金融工作的政治性、人民性,弘扬中国特色金融文化,做好金融“五篇大文章”,推动金融高质量发展,华福证券联合深交所、福建老年大学、福建省金秋画院举办“金融助养老 翰墨抒强国”福建老年书画大赛暨优秀作品展,现经各方专家评审选出15幅优秀作品进行线上展播。
一、《防范金融风险》
作者:江苏

亮点解读:该作品以《石鼓文》和吴昌硕临《石鼓文》为基调,中锋用笔,浓墨涩进,苍劲有力,加之墨色变化,以及主题和落款的布局安排,使章法在统一中,显出生动的变化。
二、《推进金融高质量发展,加快建设金融强国意义》
作者:吴建华

亮点解读:该作品融入《好大王碑》《秦诏版》和汉金文等用笔空间特点,用笔刚劲有力,字形自由活泼。通过字形大小、墨色变化及落款的参差,表达出作者理性的行笔和感性的节奏速度。
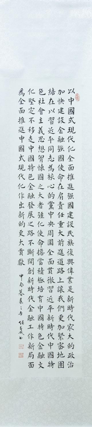
三、《金融助养老 翰墨抒国强》
作者:骆成

亮点解读:该作品以米芾书法的笔调和结构体势,结合二王一路用笔,再加上作者个人的书写理解,形成了多重信息的聚合,并在统一的风格调子下,书写自如,生动和谐。
四、《八个坚持》
作者:周光辉

亮点解读:该作品隶书用笔简洁明快,章法上的几个块面变化和谐,整体生动统一。
五、《金融高水平开放》
作者:沈应先

亮点解读:该作品楷书以褚体为基调,用笔润和,变化生动,一股书卷气跃然纸上。
六、《推动金融高质量发展》
作者:王东明

亮点解读:该作品以篆书为内容主体,隶书作落款,主次分明,再辅以多枚印章调节,使章法更加生动有趣。
七、《金融强国》
作者:张益民

亮点解读:该作品以欧体、柳体为基调,常规式布局,使章法显得简洁明了,统一有序。
八、《纂书金融》
作者:陈仲涵

亮点解读:该作品大篆字体参吴昌硕临《石鼓文》的左低右高结构法,使字形不刻板,再结合小字行楷落款,章法上又加一层变化。
九、《防风险知权益话金融》
作者:张国华

亮点解读:该作品用笔厚实有力,轻重自如,结构安排随性妥帖,章法自然错落,可以看出作者具有较深的书写功底。
十、《金融强国六大核心要素》
作者:郭婷

亮点解读:该作品以取法颜体楷书书写,字形循规蹈矩,安排出两段的变化章法,加上用色宣的面积主次分明,在统一中又有变化。
十一、《建设金融强国》
作者:谢尔国

亮点解读:该作品行书取法赵孟頫,再结合自身学习心得的发挥,表现出作者精神自由的笔意。
十二、《金融强国》
作者:王宗根

亮点解读:该作品以对联的形式创作,主题内容和说明的文字安排主次分明,为活跃章法,在落款小字上,稍微错落,可见作者布局匠心。
十三、《金融强国》
作者:林杰

亮点解读:该作品以章草的体势创作,用墨由浓到淡,变化自然,呈现轻松优雅的格调,略有书卷气息。
十四、《养老金融服务至上》
作者:王良栋

亮点解读:该作品透过苍劲有力的松树,看到老人院一派和谐欣欣向荣的景象,表现出作者对于作品主题的创意和巧思。
十五、《果香四溢》
作者:于洪

亮点解读:该作品注重对人物形象的刻画,既描绘了农民丰收的喜悦,又展现出数字金融时代下支付方式的便利。