*本文内容选自《场外衍生品知识读本》第四章《场外期权》。
Vanna代表Delta值随波动率变化的敏感度,而Charm代表Delta值对时间推移的敏感度。由于波动率和到期时间对于期权Delta的影响类似,所以Vanna和Charm具有相似的性质。香草期权的Vanna公式为:

Charm公式为:

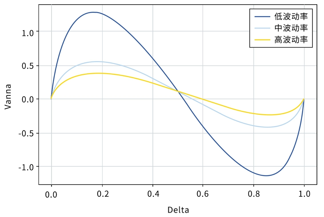
对于普通的香草期权来说。Delta的绝对值在0%,50%,100%附近的时候,期权的Vanna和Charm都趋近于0。Delta相同的时候,较低的波动率和较短的到期时间对应着(绝对值)较大的Vanna和Charm。事实上,Vanna值也可以表示Vega对于标的价格的敏感性,它与Delta对于波动率的敏感性在数学上是一致的。
在实际的场外期权交易中,交易商一般希望保持Delta中性,期权的Vanna和Charm可以在一定程度上帮助交易商确定在标的价格没有变化的情况下Delta敞口的稳定程度。一般来说,波动率较高或者到期时间较长时,Vanna和Charm相对较小,波动率变化和时间流逝对于期权Delta的影响相对会较小,交易商进行动态对冲时可以保留更小的Delta敞口以尽量减少标的价格变化对损益的影响;反之,如果波动率较低或者到期时间较短,Delta对于波动率变化和时间流逝会比较敏感,此时交易商需要考虑Delta的自然衰减或者隐含波动率突然变化对Delta带来的影响,在动态对冲时需要预留部分Delta敞口以应对这一变化。
表1 看涨香草期权随波动率变化期权Vanna分布

表2 看涨香草期权随到期时间变化期权Charm分布

【免责声明】本文信息仅用于投资者教育之目的,不构成对投资者的任何投资建议,投资者不应当以该等信息取代其独立判断或仅根据该等信息作出决策。本文信息力求准确可靠,但对这些信息的准确性或完整性不作保证,亦不对因使用该等信息而引发或可能引发的损失承担任何责任。
