*本文内容选自《场外衍生品知识读本》第四章《场外期权》。
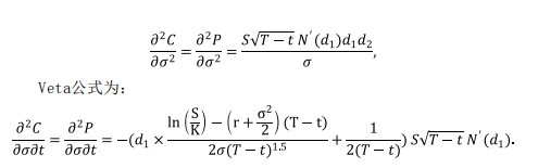
Volga代表Vega值随波动率的敏感度,而Veta代表Vega值随时间推移的敏感度。香草期权的Volga公式为:

与Delta不同的是,波动率和到期时间对于Vega有不同的影响。对于实值和虚值期权,Vega值会随着波动率增加和到期时间的延长而增加。而对于平值期权,波动率的变动是不太影响Vega值的,但是即便是在期权平值时,Vega也会受到期权到期时间的影响。
一般来说,交易商在做场外期权交易时,是不需要将Vega敞口完全对冲掉的。所以相对而言,对于Volga和Veta的监控没有对于Vanna和Charm那么重要。然而,对于本身Vega比较大的期权,在实值度和虚值度比较高(注意不是很高)时,会出现Volga和Vega都比较大的情况,此时波动率的变化对价格的影响会比较不稳定。在这种情况下,交易商对Vega敞口的重视程度需要有所提高。
图1 看涨香草期权随到期时间变化期权Volga分布

图2 看涨香草期权随到期时间变化期权Veta分布

【免责声明】本文信息仅用于投资者教育之目的,不构成对投资者的任何投资建议,投资者不应当以该等信息取代其独立判断或仅根据该等信息作出决策。本文信息力求准确可靠,但对这些信息的准确性或完整性不作保证,亦不对因使用该等信息而引发或可能引发的损失承担任何责任。
