“场外期权基础知识”专栏
编者按:场外期权作为资本市场中的重要金融工具,为诸多市场主体与投资者提供了灵活的风险管理和收益增强手段,也正是因为其灵活性与复杂性,导致大众缺乏对场外期权的基础认知。中证报价投资基地推出“场外期权基础知识”专栏,邀请交易商深入浅出地介绍场外期权的基本概念、风险管理和定价机制,希望能够帮助大家更加全面地了解这一复杂而高效的金融工具。
作者:东方财富证券证券投资总部
*本文雪球指一种自动赎回型期权结构。
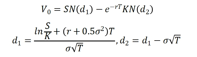
在上一篇文章介绍的BS模型中,复杂的期权价值本质上是由几个关键的因素决定的:标的价格、执行价格、波动率、无风险利率和距离期权到期的时间。在考虑股息的模型中,往往还会纳入分红或贴水的参数,形成如下所示的BS模型(以香草看涨期权为例)。


▍标的价格和执行价格
标的价格和执行价格的相对大小,是影响期权价值的重要因素。一般对于某个期权来说,执行价格通常是固定的,因此也会将这一影响简单归结为标的价格的变化,例如对于香草期权来说,在其他因素不变的情况下,标的价格越高、执行价格越低,看涨期权的价值就越高;标的价格越低,执行价格越高,看跌期权的价值就越高。

而对于雪球结构的期权来说,期权价值随标的价格的变化呈现更加复杂的特征。

▍波动率
波动率是影响期权价值的又一重要因素。我们常听到的一句话是,交易期权就是在交易波动率,由此可见波动率对于期权价值的重要性。
期权实际上交易的是未来行使权利的可能性,因此要理解波动率的影响,不妨从“可能性”这个角度出发。如下图所示,当波动率变大时,意味着标的资产的价格在未来有更大的可能变得更高或者更低。对于一个香草期权来说,无论是看涨还是看跌,都具有收益无限而亏损有限的特性,波动越大代表可能的收益越高,因而期权的价值也越高。

总体来看,一般而言波动率对于权利方的影响是正向的,即波动率越高,权利方的价值就一定程度上越大。不过对于其他复杂结构的期权来说,权利和义务可能随着标的价格或其他因素发生转换,因此波动率对价值的影响呈现出更加复杂的特征。
▍其他因素
如果不考虑随着时间流逝带来的期权结构上的变化,那么时间对期权价值的影响一般是和波动率相反的,即随着时间流逝,权利方的价值变低。下图是平值香草期权的价值随时间流逝的示意图,我们在之前介绍时间价值时已经提及过这一特征。

除此之外,无风险利率以及分红或贴水也会影响期权的价值。其中,无风险利率变动不大,因此对期权价值的影响较小。而分红或贴水对期权价值的影响往往与标的价格是相反的,即对于香草期权来说:分红或贴水率越高,看涨期权的价值就越低,看跌期权的价值就越高。
【免责声明】本文信息仅用于投资者教育之目的,不构成对投资者的任何投资建议,投资者不应当以该等信息取代其独立判断或仅根据该等信息作出决策。本文信息力求准确可靠,但对这些信息的准确性或完整性不作保证,亦不对因使用该等信息而引发或可能引发的损失承担任何责任。
